
ओडिशा के बालासोर में हुई भीषण ट्रेन दुर्घटना के कारण रूट पर रेल ट्रैफिक बुरी तरह प्रभावित है. बालासोर रेल हादसे के बाद अब रेलवे की पूरी कोशिश है कि ट्रैक के दुरुस्त किया जाए. हादसे को करीब 38 घंटे बीत चुके हैं लेकिन उस रूट पर अभी तक ट्रेनों की आवाजाही बंद है.
रेलवे की ओर से मिली जानकारी के मुताबिक, अभी तक 90 ट्रेनों को कैंसिल कर दिया गया है, जबकि 49 ट्रेनों का रूट डायवर्ट किया गया है. लेटेस्ट अपडेट के मुताबिक, 11 ट्रेनों को शॉर्ट टर्मिनेट किया गया है. हादसे के कारण प्रभावित ज्यादातर ट्रेन दक्षिण और दक्षिण-पूर्व रेलवे जोन की हैं.
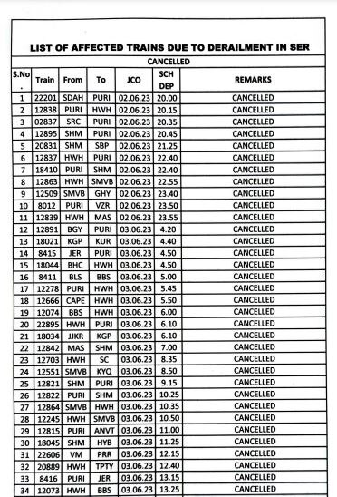
कैंसिल ट्रेनों की लिस्ट

भारतीय रेल के दो जोन द्वारा जारी ताजा आंकड़ों के अनुसार, आज यानी 4 जून को चलने वाली पटना-पुरी स्पेशल ट्रेन भी रद्द कर दी गई है.

यहां देखें सभी प्रभावित ट्रेनों की लिस्ट
शनिवार शाम तक उपलब्ध आंकड़ों के मुताबिक, दक्षिण रेलवे ने चार जून को चेन्नई से सुबह सात बजे रवाना होने वाली डॉक्टर एमजीआर चेन्नई सेंट्रल- शालीमार कोरोमंडल एक्सप्रेस और चेन्नई से सुबह आठ बजकर 10 मिनट पर रवाना होने वाली डॉक्टर एमजीआर चेन्नई सेंट्रल - संतरागाछी एसी सुपरफास्ट ट्रेन को भी रद्द कर दिया है.
#WATCH | Odisha: Restoration work underway at the site where the horrific #BalasoreTrainAccident took place, killing 288 people and injuring 747 pic.twitter.com/Gxqyr2FKoh
— ANI (@ANI) June 4, 2023
दक्षिण रेलवे भी हादसे से प्रभावित लोगों के परिजनों/रिश्तेदारों के लिए चेन्नई से भद्रक तक ,स्पेशल ट्रेन चला रहा है. बता दें कि शुक्रवार, 2 जून को हुए बालासोर रेल हादेस में अभी तक 288 यात्रियों की मौत हो चुकी है.
ओडिशा सरकार की ओर से रात करीब आठ बजे दी गई जानकारी के मुताबिक, लगभग 1,175 यात्रियों को विभिन्न अस्पतालों में भर्ती कराया गया, जिनमें से 793 को छुट्टी दे दी गई और 382 का इलाज चल रहा है. वहीं, मामले की जांच जारी है कि आखिर हदसे के लिए कौन जिम्मेदार है.